

Institut für
SF Seefischerei
Im September 2024 wurde unser Kollege Matthias Schaber bei seiner Feldkampagne zum Besendern von Hundshaien von einem Fernsehteam begleitet, um eine Folge für die Reihe "Nina und die wilden Tiere" zu drehen - über Hundshaie und unsere Forschungsarbeiten bei Helgoland.
Die Sendung ist seither in der ARD-Mediathek abrufbar unter "Ein Hundshai an der Leine".
Projekt
Wanderverhalten von Hundshaien (HTTP)

Helgoland Tope Tagging Project
Er ist der größte ständig in deutschen Gewässern vorkommende Hai und ist als „stark gefährdet“ eingestuft: der Hundshai. Markierungsexperimente mit Satellitensendern in der Nordsee sollen Aufschluss über das Wanderverhalten der Tiere geben und so eine verlässliche Abschätzung der Verbreitung der Haie und deren Populationsentwicklung ermöglichen.
Hintergrund und Zielsetzung
Der Hundshai (Galeorhinus galeus) wird auf der Roten Liste der gefährdeten Arten der Weltnaturschutzunion (IUCN) weltweit als vom Aussterben bedroht („Critically endangered“) und in den deutschen Meeresgebieten als "stark gefährdet" eingestuft.
Ausgewachsene Hundshaie führen in ihrem Verbreitungsgebiet ausgedehnte Wanderungen durch. Jungtiere halten sich dagegen über längere Zeiträume in Küstennähe auf, z.B. in ihren Aufwuchsgebieten.
Ausmaß und Ursache der Wanderungen adulter Hundshaie sind nicht vollständig geklärt: In anderen Teilen ihres fast weltweiten Verbreitungsgebietes stehen die Wanderungen vor allem der adulten Weibchen im Zusammenhang mit der Fortpflanzung - sie suchen regelmäßig die Gebiete auf, in denen sie dann ihren Nachwuchs zur Welt bringen. Während für andere Populationen Wanderrouten und auch regelmäßige Muster in den Wanderungen nachgewiesen werden konnten, sind solche Informationen für die nordostatlantische Population noch eher spärlich.
Obwohl es in den europäischen Meeren keine gezielte Fischerei auf Hundshaie gibt, werden diese Tiere regelmäßig mit einer Vielzahl von Fanggeräten als Beifang gefangen und angelandet. Technische Schutzmaßnahmen zur Vermeidung des unbeabsichtigten Beifangs von Hundshaien sind bei der Vielzahl der in der Fischerei eingesetzten Fanggeräte nicht umsetzbar. Umso wichtiger ist es, wichtige Habitate der Hundshaie zu kennen, also Gebiete, in denen sich die Tiere regelmäßig und möglicherweise über einen längeren Zeitraum aufhalten. Dies sind zum Beispiel die Gebiete, in denen die Jungtiere geboren werden oder in denen sich die erwachsenen Tiere zur Fortpflanzung versammeln. Hier können dann zeitlich oder räumlich begrenzte, effektivere Maßnahmen zum besseren Schutz dieser gefährdeten Haiart ergriffen werden.
Um die bestehenden Wissenslücken über die Verbreitung, Migration, das Verhalten und die allgemeine Biologie von Hundshaien so weit wie möglich zu schließen, werden im Rahmen des Projektes Hundshaie während ihrer sommerlichen Aggregation vor Helgoland gefangen und mit Satelliten- und konventionellen Markierungen versehen.
Ziele des Projektes sind unter anderem:
- die Erfassung der saisonalen Wanderbewegungen von Hundshaien in der Nordsee
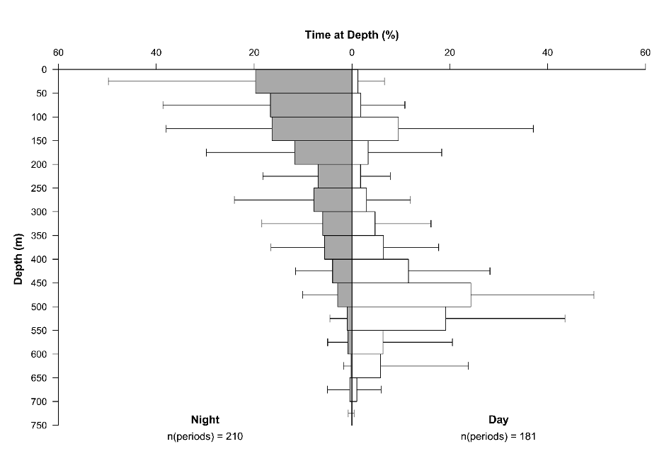
- Untersuchung der biologischen Grundlagen der sommerlichen Aggregationen von Hundshaien in der Deutschen Bucht sowie ihrer tageszeitlichen Vertikalwanderungen und Aktivitätszyklen.
- die Erhebung von Daten zur Beurteilung des Schutz- und Gefährdungsstatus dieser Rote-Liste-Art in deutschen Gewässern und im Nordostatlantik
- die Erfassung von Verbreitungsdaten adulter Tiere zur Bewertung des Nutzens bestehender und geplanter Schutzgebiete für den Schutz von (wandernden) Hundshaien.
Zielgruppe
Wissenschaft, Politik (Fischerei, Artenschutz)
Vorgehensweise
Im Sommer sammeln sich ausgewachsene Hundshaie in der Deutschen Bucht im Seegebiet um Helgoland. Dort werden sie von uns vom Boot aus gezielt mit der Angel gefangen. Nach der Erfassung von Länge, Gewicht und Geschlecht und der Entnahme einer Gewebeprobe für populationsgenetische Untersuchungen wird den Tieren in einem schnellen, minimalinvasiven Eingriff eine Satellitenmarkierung (MiniPAT) und eine klassische Spaghetti-Markierung (sog. Floy-Tags) auf bzw. unter der Rückenflosse angebracht. Anschließend wird das Tier schonend freigelassen.
Der satellitengestützte Markierungs-Sensor (engl. „Tag“) zeichnet über einen vorprogrammierten Zeitraum kontinuierlich Tiefe, Temperatur und Umgebungslicht auf und löst sich dann vom Hai. Nach dem Ablösen und Auftauchen an die Wasseroberfläche übermittelt der Tag die Messdaten dann via Satellit.
Mit den zu erwartenden Messdaten können dann die Wanderrouten dieser weit wandernden Art rekonstruiert werden. Darüber hinaus können kleinräumige Verhaltensmuster, wie z.B. mögliche tägliche Aktivitätszyklen und auch Habitatpräferenzen der Haie ermittelt werden. Eventuelle regelmäßige Häufungen von Haien in einem bestimmten Gebiet zu einer bestimmten Zeit können für die Einrichtung und Erfolgskontrolle von Meeresschutzgebieten relevant sein.
Daten und Methoden
Für die Markierungsarbeiten werden sogenannte „Pop-Up Archival Transmitting Tags“ oder „Satellite Pop-Up Tags“ (PAT Tags oder PSAT), Modell MiniPAT, verwendet. Die Tags werden vor Beginn der Feldarbeiten programmiert und in den Standby-Modus versetzt. Nachdem ein Hai markiert und wieder freigelassen wurde, aktivieren sich die Tags bei Kontakt mit Meerwasser und beginnen mit der Datenerfassung. Über den vorprogrammierten Zeitraum von 270 bis 365 Tagen zeichnen die Sender alle paar Sekunden Umweltparameter wie Temperatur, Tiefe und Lichtintensität auf. Während dieser Phase besteht kein „Kontakt“ zum markierten Hai, d.h. wir wissen während der Datenerfassung nicht, wo sich der Hai aufhält oder was das Tier gerade macht. Erst nach Ablauf der Mess-Phase löst sich der Sender vom Tier und steigt an die Wasseroberfläche. Dort werden die gespeicherten Messdaten dann über ARGOS-Satelliten übermittelt.
Die übermittelten Messdaten ermöglichen nun eine genaue Rekonstruktion der Bewegungsmuster, Aktivitätszyklen und Wanderrouten der Haie vom Ort der Markierung bis zum Ablösen des Senders vom Tier. Dazu werden beispielsweise die gemessenen Temperaturdaten nahe der Wasseroberfläche mit Messdaten der Oberflächentemperatur von Forschungssatelliten verglichen und die gemessenen Tiefendaten mit Bathymetriedaten des Untersuchungsgebietes abgeglichen. Aus der Veränderung der Lichtintensität in bestimmten Tiefen und zu bestimmten Tageszeiten lassen sich zusätzlich Informationen über die geographische Position zu einem bestimmten Zeitpunkt ableiten.
Aus dem Vergleich der Aufenthaltstiefen der Haie zu bestimmten Tageszeiten und der Analyse z.B. des Temperaturbereichs, in dem sich die Tiere bevorzugt aufhielten, können Informationen über die Tiefenverteilung, bevorzugte thermische Habitate etc. abgeleitet werden.
Die zusätzliche Markierung der Haie mit einem sogenannten „Spaghetti-Tag“ - einer Art Ohrmarke - dient der Erfassung weiterer biologischer Daten für den Fall, dass der Hai nach dem Ablösen der Satellitenmarkierung zu einem späteren Zeitpunkt wieder gefangen wird.





Unsere Forschungsfragen
- Wie lassen sich die saisonalen Wanderbewegungen von Hundshaien in der Nordsee/im Nordostatlantik charakterisieren?
- Können wir räumliche und zeitliche Muster in den Wanderrouten und im Aggregationsverhalten sowie tageszeitliche Wanderungs- und Aktivitätszyklen erkennen?
- Können wir anhand von Daten zu Wanderbewegungen und Habitatnutzung von Hundshaien sogenannte „kritische Habitate“ identifizieren und auch die Eignung bestehender und geplanter Meeresschutzgebiete für den Schutz dieser gefährdeten Art bewerten bzw. mögliche Schutzmaßnahmen identifizieren?
Vorläufige Ergebnisse
Seit Beginn des Projektes wurden 22 Hundshaie markiert. Aus den bisher übermittelten Messdaten konnten die Wanderrouten und einige Verhaltensmuster der einzelnen Haie rekonstruiert werden. Der überwiegende Teil aller markierten Haie verließ mit der herbstlichen Abkühlung des Meerwassers das Seegebiet um Helgoland und wanderte westwärts entlang der ost- und westfriesischen Inseln und dann südwestwärts in den Englischen Kanal. Dort verbrachten viele Tiere die Wintermonate.
Einige der Hundshaie wanderten weiter in den Nordostatlantik, verließen in der Biskaya den flachen Kontinentalschelf und zogen in den offenen Nordostatlantik - zum Teil recht zielgerichtet bis nach Madeira oder in die Straße von Gibraltar. Dabei legten die Tiere nicht nur Distanzen von mehreren tausend Kilometern zurück, sondern unternahmen auch ausgeprägte Vertikalwanderungen im ozeanischen Bereich bis in die Tiefsee. Dabei folgen die Haie vermutlich ihrer bevorzugten Beute, den Kalmaren, bei deren täglichen Wanderungen aus Tiefen von mehreren hundert Metern an die Meeresoberfläche und wieder zurück.
Mit den bisherigen Ergebnissen konnte also zum einen gezeigt werden, dass auch die nordostatlantischen Hundshaie - zumindest die adulten Tiere, die sich in den Sommermonaten in der flachen Deutschen Bucht sammeln - weite und zum Teil offenbar gezielte Wanderungen unternehmen, die sie aus ihren angestammten Habitaten in relativ flachen Schelfgebieten teilweise bis in ozeanische Bereiche des offenen Atlantiks führen. Zum anderen konnte erstmals detailliert nachgewiesen werden, dass sie dort quasi zu Tiefseehaien werden und in einem Gebiet relativer Nahrungsarmut in den oberflächennahen Wasserschichten regelmäßig das reichhaltige Nahrungsangebot in mehreren hundert Metern Tiefe als Energiequelle für ihre Wanderungen nutzen.
Weitere Daten zur Habitatnutzung während der verschiedenen Phasen der Wanderung und zu möglichen regelmäßigen Mustern bei den horizontalen Wanderungen werden noch analysiert.
Die bisherigen Erkenntnisse wurden bereits in zwei wissenschaftlichen Publikationen veröffentlicht.


Links und Downloads
- Mehr Infos auch in der Thünen-Pressemitteilung"Von der Deutschen Bucht in die Tiefsee: Die erstaunliche Wanderung der Hundshaie“
- Interview mit Matthias Schaber in der Wissenschaft erleben: „… eine gigantische Massenbewegung – und die Hundshaie machen mit“
- ICES WGEF: Die Arbeitsgruppe liefert Bestandseinschätzungen und Empfehlungen zum Zustand der Bestände von Haien und Rochen im gesamten ICES-Gebiet.
- Übereinkommen zur Erhaltung wandernder wild lebender Tierarten (CMS) / Bonner Konvention: Factsheet Hundshai
- Rote Liste gefährdeter Arten (IUCN) : Der Hundshai (global)
Zeitraum
7.2017 - 12.2025
Weitere Projektdaten
Projektstatus:
läuft
Publikationen
- 0
Zidowitz H, Dureuil M, Schaber M (2024) Germany. In: Jabado RW, Morata AZA, Bennett RH, Finucci B, Ellis JR, Fowler S, Grant MI, Barbosa Martins AP, Sinclair SL (eds) The global status of sharks, rays, and chimaeras. Gland: IUCN, pp 659-664, DOI:10.59216/ssg.gsrsrc.2024
- 1
McCully Phillips S, Moura T, Delaval A, Serra Pereira B, Maia C, Griffiths C, Rodriguez-Cabello C, Villagra Villanueva D, Johnston G, Diez G, Martinez I, Ellis J, Silva J, De Oliveira J, Batsleer J, Bleeker K, Jakobsdottir K, Baulier L, Schaber M, Afranewaa N, et al (2024) Report of the Working Group on Elasmobranch Fishes (WGEF). Copenhagen: ICES, iii, 994 p, ICES Sci Rep 6(75), DOI:10.17895/ices.pub.26935504
- 2
McCully Phillips S, Batsleer J, Aas Tranang C, Barreau T, Baulier L, Bleeker K, Diaz G, Ellis J, Figueiredo I, Griffiths C, Jakobsdottir K, Johnston G, Junge C, Lleal W, Lorance P, Maia C, Mildenberger TK, Miethe T, Moura T, Schaber M, et al (2023) Working Group on Elasmobranch Fishes (WGEF). Copenhagen: ICES, xvii, 837 p, ICES Sci Rep 5(92), DOI:10.17895/ices.pub.24190332
- 3
Andrzejaczek S, Lucas TCD, Goodman MC, Hussey NE, Armstrong AJ, Carlisle A, Coffey DM, Gleiss AC, Huveneers C, Jacoby DMP, Meekan MG, Mourier J, Peel LP, Abrantes K, Afonso AS, Ajemian MJ, Anderson BN, Anderson SC, Araujo G, Schaber M, et al (2022) Diving into the vertical dimension of elasmobranch movement ecology. Sci Adv 8(33):eabo1754, DOI:10.1126/sciadv.abo1754
- 4
Schaber M, Gastauer S, Cisewski B, Hielscher NN, Janke M, Pena M, Sakinan S, Thorburn J (2022) Extensive oceanic mesopelagic habitat use of a migratory continental shark species. Sci Rep 12:2047, DOI:10.1038/s41598-022-05989-z





