

Institut für
WO Waldökosysteme
Projekt
CL Validierung

Validierung der nationalen Modellierung der Critical Loads
Hintergrund und Zielsetzung
Um erhöhten Stickstoff- (N) und Schwefeleinträgen (S) und deren schädigenden Einfluss auf Waldökosysteme entgegenzuwirken, wurden Critical Loads (CL) festgelegt. Dabei werden Grenzwerte für die Deposition von Stickstoff und Schwefel festgelegt, die bei Überschreitung verpflichtende Emissionsminderungsmaßnahmen zum Schutz vor Versauerung und Eutrophierung der Wälder bedingen.
Die Berechnung der CL erfolgt durch empirische Untersuchungen, einfachen Massenbilanzen nach dem Steady-State-Prinzip oder dynamischen Modellen, die im Mapping Manual UN/ECE 2017 sowie einem nationalen Bericht dargestellt sind.
Die Prozesse Denitrifikation und Verwitterung sind für die Berechnung der CL von Bedeutung und wurden in diesem Projekt evaluiert.
Unter der Denitrifikation versteht man die Reduktion von Nitrat (NO3-) und Nitrit (NO2-) zu Lachgas (N2O), Stickstoffmonoxid (NO) und molekularem Stickstoff (N2) (Groffman et al., 2006). Die Denitrifikation führt somit zu einem Stickstoffverlust im Boden sowie zur Freisetzung klimarelevanter Spurengase.
Die Verwitterung ist zusammen mit der Deposition die nachschaffende Kraft hinsichtlich Pflanzennährstoffen. Die Verwitterungsrate bedingt die Pufferkapazität sowie die Fruchtbarkeit eines Bodens und ist ein Kriterium bei der Beurteilung stofflicher Nachhaltigkeit in der Forstwirtschaft. Der Verwitterungsprozess ist dabei die größte Senke für Protonen im Boden und beeinflusst die Sensitivität eines Ökosystems gegenüber Säureeinträgen maßgeblich (Whitfield et al., 2006).
Sowohl die Modellierung der Verwitterungsrate sowie die freigesetzten Stickstoffmengen durch die Denitrifikation sind mit großen Unsicherheiten verbunden. Dies wirkt sich auf die Berechnung der CL für Versauerung und Eutrophierung aus.
In diesem Projekt wurden Denitrifikation und Verwitterung im Hinblick auf die Berechnungsgrundlage der CL evaluiert.
Vorgehensweise
Der Bereich Denitrifikation setzt sich aus einer Literaturstudie sowie Laborversuchen zu N2O- und N2-Emissionen von Waldböden zusammen.
In der Literaturstudie wurden 325 Studien von N2O-Emissionen und 80 Studien von N2-Emissionen ausgewertet. Der Fokus liegt dabei auf folgenden Kriterien: Ökosystem, Klimazone, Waldtyp, Höhenstufe, Luft-/Inkubationstemperatur, Niederschlag/ Bodenfeuchte, Ton-Gehalt, pH-Wert sowie dem Kohlenstoff- und Stickstoffgehalt des Bodens.
Die Bodenproben für die Laborversuche entstammen 16 bundesweit verteilten Waldmonitoringstationen. Für die Analyse der N2O-, Methan-(CH4) und CO2-Emissionen im Labor wurden 250 cm³-Stechzylinderproben verwendet.
Die Analysen erfolgten bei unterschiedlichen Stufen der Bodenfeuchte (70 und 90% WFPS) und der Bodentemperatur (5, 15 und 20°C). Dabei wurde zwischen gestörten und ungestörten Proben unterschieden.
Zusätzlich wurde der Einfluss der Größen Tongehalt und N-Deposition sowie NO3-- und NH4+-Gehalt auf die Emissionen untersucht.
Für die Ermittlung der Verwitterungsrate wurden die Ergebnisse einer Röntgenfluoreszenzanalyse (RFA) der Tonmineralischen Beratung aus den Jahren 1989 bis 2012 verwendet. Mit Hilfe des Modell PROFILE wird die Reaktion der Minerale mit den Elementen der Bodenlösung für jeden Horizont getrennt berechnet. Dafür werden Daten für Klima, Depositionsdaten, Streufall, die Elementaufnahme durch die Vegetation, Bodenparameter sowie die chemische Zusammensetzung der Bodenlösung verwendet.
Ergebnisse
Der Vergleich der N2O-Literaturstudien zeigt weiteren Bedarf an Denitrifikationsmessungen. Der Hauptteil der untersuchten Studien ist bereits mehr als 10 Jahre alt und bietet nicht die geforderte Qualität der Messmethoden. Oft ist die Studiendauer zu kurz und die Messintervalle zu groß, um aussagekräftige Schlussfolgerungen und Vergleiche ziehen zu können.
Beim Vergleich der Studien nach den eingeteilten Kriterien fällt der Mangel an Studien für einzelnen Größen auf, wie z. B. dem Tongehalt von > 62,5 % (nur 2 Studien), was eine Untersuchung der Abhängigkeit der Denitrifikation von dem untersuchten Kriterium unmöglich macht. Das wird besonders dann deutlich, wenn nur die, als qualitativ gut und sehr gut bewerteten, Studien betrachtet werden.
Die Laboruntersuchungen zur Bodenentgasung führen einzig für die Behandlungsmethode 20 °C und 90 % WFPS bei gestörten Proben zu signifikanten N2O-Emissionen (Abb. 1). Hier zeigte der NO3-Gehalt im Boden einen signifikant positiven Einfluss auf die N2O-Emissionen. Das wird vor allem an den Standorten Conventwald (32,15 ± 29,65 kg N ha-1a-1) im Schwarzwald nahe Frankreich sowie Tannenbusch (40,32 ± 37,09 kg N ha-1a-1) und Schwaney (77,29 ± 24,50 kg N ha-1a-1) (20-90-G) in Nordrhein-Westfalen nahe den agrarintensiven Regionen in den Niederlanden deutlich (Abbildung 1). Die Emissionen der gestörten Proben können als maximales Potential der Emissionen angesehen werden. Bei Verwendung ungestörter Proben, wie sie natürlich vorkommen, liegen die N2O-Emissionen bei unter 1 kg N ha-1a-1.
Die CO2-Emissionen zeigen keine Abhängigkeit zu den N2O-Emissionen. Sie liegen für gestörte Proben zwischen 0,24 ± 0,04 µmol m-2s-1 (Tannenbusch) und 1,35 ± 0,65 µmol m-2s-1 (Colditz) sowie 0,34 ± 0,08 µmol m-2s-1 (Possen) und 1,29 ± 0,46 µmol m-2s-1 (Klingenthal) für ungestörte Proben.
Für CO2- und CH4-Emissionen können keine Abhängigkeit zu den Einflussgrößen Tongehalt, N-Deposition, sowie NO3- und NH4-Gehalt festgestellt werden. Die CH4-Emissionen bei gestörten Proben (20 °C, 90 % WFPS) reichen von
-0,2 ± 0,01 µmol m-2 h-1 in Tannenbusch bis
-11,93 ± 1,73 µmol m-2 h-1 in Colditz. Die ungestörten Proben liefern CH4-Emissionen von -0,08 ± 0,01 µmol m-2h-1 in Tannenbusch bis -19,61 ± 1,86 µmol m-2h-1 in Colditz. Negative Werte stehen hierbei für eine Aufnahme von CH4.
Die Berechnung der Verwitterungsrate zeigt, die Verwitterungsrate mit der Verwitterungsklasse (VW) ansteigt. Bei groben Böden mit saurem (VW 1) oder intermediärem Ausgangsgestein (AG) liegt der Median von 1,2 bzw. 2,4 eq ha-1 a-1 cm-1 wesentlich unter dem, des Substrat-Textur-Ansatzes mit 2,5 und 7,5 eq ha-1 a-1 cm-1. Für Böden mittlerer Texturen liegen die Mediane der Verwitterung bei 6,5 für saures AG (VW 3), 7,7 für intermediäres AG (VW 4) und 14,9 eq ha-1 a-1 cm-1 für basisches AG (VW 5). Der Hauptteil der untersuchten Böden (70 %) wird den Verwitterungsklassen 4 (n=191) und 1 (n=82) zugeordnet. Die Verwitterungsrate für die Böden mit feiner und sehr feiner Textur (VW 6) ist nicht aussagekräftig, da ihr nur 5 untersuchte Waldböden zugrunde liegen.
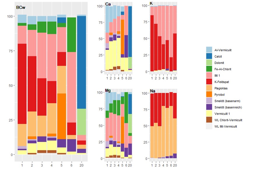
Für die Böden der Verwitterungsklassen 1 bis 4 und 6 stellen K-Feldspat, Plagioklas und Illit den größten Teil der Minerale (67-83 %) bei der Verwitterungsrate (Abbildung 2). Dabei steigt der Anteil an Illits mit zunehmender Verwitterungsklasse an, während der Anteil des K-Feldspats abnimmt. In Böden der Verwitterungsklasse 5 machen Pyrobole und in der Verwitterungsrate 20 Calcit und Dolomit den höchsten Anteil der Minerale an der Verwitterungsrate aus.
Die Studien haben gezeigt, dass weitere Untersuchungen erforderlich sind, um aussagekräftigere Ergebnisse zu erzielen. Für die weitere Forschung leiten wir folgende Empfehlungen ab:
- Untersuchungen zu den N2O- und N2-Emissionen müssen unter einheitlichen Bedingungen und Mindestanforderungen, sowie unter Angabe der Mess- und Standortsbedingungen erfolgen
- Studien zur Denitrifikation müssen auf organische Böden ausgedehnt werden, da hier im Vergleich zu mineralischen Böden besonders im degradierten zustand hohe N-Verluste zu erwarten sind
- weiterführende Berechnungen mit 3 unabhängigen Methoden zur Abschätzung der Verwitterungsrate
Project brief: Oertel C, Höhle J, Sitte J, Hoffmann M, Lück M, Jungius N, Paetzel C, Andreae H, Augustin J, Wellbrock N (2022) Stoffliche Belastungsgrenzen von Waldökosystemen (Critical Loads) - Auswirkung von Denitrifikation und Verwitterung. Eberswalde: Thünen-Institut für Waldökosysteme, 2 p, Project Brief Thünen Inst 2022/42, DOI:10.3220/PB1669024551000
Thünen-Ansprechperson

Thünen-Beteiligte
Beteiligte externe Thünen-Partner
- Leibniz-Zentrum für Agrarlandschaftsforschung (ZALF) e.V.
(Müncheberg, Deutschland) -
Staatsbetrieb Sachsenforst, Kompetenzzentrum Wald und Forstwirtschaft
(Pirna, Graupa, Deutschland)
Geldgeber
-
Umweltbundesamt (UBA)
(national, öffentlich)
Zeitraum
1.2018 - 3.2021






